科研进展

赵亮等-CD: 冬季太平洋海温变率对中国夏季高健康风险干热与湿热复合事件的影响:过去与未来

世界卫生组织指出,全球气候变暖是21世纪人类社会面临的最大的公共卫生威胁。而相比于单一高温事件,温湿度复合热事件往往能够对人体健康产生更大的不利影响。然而,目前对于前期海温信号对高健康风险的复合热事件的影响仍不充分,尤其是对于其贡献程度的系统定量评估。

近日,中国科学院大气物理研究所LASG赵亮正高级工程师与南京信息工程大学徐海明教授、沈新勇教授、国家气候中心柳艳菊研究员及合肥市气象局邓学良正高级工程师联合清华大学万科公共卫生与健康学院黄存瑞教授在《Climate Dynamics》上发表文章:"Impact of winter Pacific SST variability on summer dry-heat and wet-heat compound events with high health risks in China: past and future"。该研究采用低频成分分析法(LFCA),将冬季太平洋海温分解为长期、年代际、年际三种信号。与EOF方法或经典指数定义相比,LFCA能够更有效分离热带太平洋年际变率与中纬度–热带耦合的年代际变率,从而避免不同时间尺度信号混杂带来的偏差。基于此方法,研究结合中国13个城市的急救数据、ERA5再分析数据以及CMIP6模式数据,定量评估了冬季太平洋海温信号对中国夏季高健康风险干热和湿热复合热事件的贡献及太平洋海温长期变暖影响下两种复合热事件的未来演变。

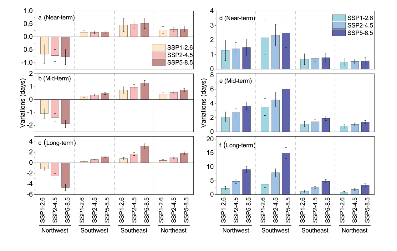
研究发现,冬季太平洋海温对中国湿热型高风险事件的贡献更大(7–47%),尤其是青藏高原地区,而对干热型高风险事件的贡献较小(2–18%);其中海温长期增暖信号是主导因子,在对两类事件的贡献中占比均超过72%(图1和2);从未来模拟结果看,减排可以缓解未来由太平洋海温变暖驱动的热健康风险,而且这种缓解效应会随时间推移而增强。到本世纪末,低排放情境下,中国夏季受太平洋海温长期增暖影响的高风险干热事件频率将减少0.9-2.4天/月,高风险湿热事件频率将减少2.6-11.3天/月,相较于高排放情景有明显下降(图3)。

这项研究定量评估了不同时间尺度冬季太平洋海温信号对中国夏季高健康风险复合热事件的贡献,不仅揭示了太平洋海温长期变暖在驱动高风险复合热事件增加中的关键作用,也为建立基于气候信号的健康风险预警系统、制定区域气候适应措施以及推进长期减排战略提供了重要参考。

图1 冬季太平洋海温信号对中国夏季高健康风险复合热事件的贡献

注:(a)海温信号对高风险干热事件的总贡献(绿色:可解释贡献,灰色:不可解释贡献);(b)同(a),但为高风险湿热事件;(c)不同时间尺度海温信号对干热事件的相对贡献(紫色:长期信号;蓝色:年代际信号;橙色:年际信号);(d)同(c),但为高风险湿热事件

图2 太平洋海温多尺度变化对暖干和暖湿事件的总贡献

图3 不同未来情景下由冬季太平洋海温长期增暖驱动的中国高风险复合热事件月频数变化

注:(a)近期(2024-2040年)、(b)中期(2041-2060年)和(c)长期(2081-2100年)不同情景下高风险干热事件月频数变化;(d-f)同(a-c),但为高风险湿热事件;误差线表示95%置信区间

论文信息:

Liang, C., Zhao, L., Xu, H., Shen, X., Liu, Y., Deng, X., & Huang, C. (2025). Impact of winter pacific SST variability on summer dry-heat and wet-heat compound events with high health risks in China: Past and future. Climate Dynamics, 63(8), 318. https://doi.org/10.1007/s00382-025-07821-6

https://link.springer.com/article/10.1007/s00382-025-07821-6#citeas

附件下载: