极端气候事件对社会经济、生产生活和自然生态系统具有显著影响。气候监测与研究中通常采用基于30年气候基准期(如1981-2010年)的百分位指数来评估极端事件的强度。世界气象组织(WMO)建议每十年更新一次30年标准气候基准期(例如1981–2010年、1991–2020年),以提升近期气候监测的准确性。自2024年起,《中国气候变化蓝皮书》将基准期从1981-2010年更新为WMO推荐的1991-2020年。这种基准期的调整对极端气候事件检测的影响,特别是对气候变化信号出现时间(Time of Emergence, ToE)的影响,需要进行系统评估。
3月29日,中国科学院大气物理研究所博士研究生李兰与其所在团队师生合作,在Journal of Geophysical Research: Atmospheres上发表了题为“基准期更新对中国极端气候变化检测的影响”的研究论文,系统揭示了基准期更新对中国极端温度和降水事件检测的影响。作者采用国际“气候变化检测与指数专家组”(ETCCDI)推荐的极端温度和降水指数,分析了将基准期从1981–2010年更新为1991–2020年后,1961–2020年间中国极端温度和降水指数的幅值、趋势及其变化信号的检测结果所发生的变化。
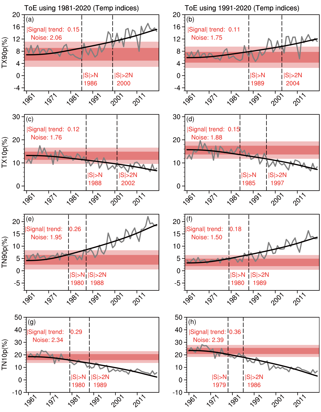
分析结果显示,使用1991-2020年基准期后,在全国范围内,就极端温度事件而言,低温事件(TX10p/TN10p)识别量增加10%~38%,而高温事件(TX90p/TN90p)减少11%~32%;同时,高温事件增加速率减缓,而低温事件减少速率加快。对于极端降水事件,强降水频率(R95d/R99d)识别量减少1%~12%,但强降水强度(R95p/R99p)略有增强,幅度上空间不均匀,最高可达4%。此外,极端降水发生频率的增长速率放缓、强度上升的趋势加快。对于极端事件变化信号出现时间(ToE)的检测,基准期的更新延迟高温事件ToE检测1~8年,但提前了低温事件ToE达1~9年;强降水强度ToE时间提前,而强降水频率的ToE时间则延迟超过4年。
本文第一作者李兰指出:“基准期更新的影响表现出显著的区域差异,其中青藏高原对温度事件阈值的变化最敏感,其极端温度的强度变化显著高于其他区域。”
“基准期更新对极端事件量化和检测的影响,其根本原因是背景气候态的长期趋势(如长期增暖、变湿趋势)”,本文合作者、张文霞副研究员说,“因此,需要注意基准期差异导致的极端事件风险评估的差异,特别是在气候敏感地区的基础设施规划中。”作者基于分析结果,呼吁推动多区域基准期变化影响对比,以协调全球极端气候事件的监测标准。
中国科学院大气物理研究所博士研究生李兰为论文第一作者。该研究受国家自然科学基金“青藏高原地球系统基础科学中心项目”(延续资助)和国家自然科学基金(42275038)资助。
论文引用:
Li, L., Zhou, T., & Zhang, W. (2025). Updating the baseline period affects the detection of extreme climate change in China. Journal of Geophysical Research: Atmospheres, 130, e2024JD042704.https://doi.org/10.1029/2024JD042704
链接:
https://doi.org/10.1029/2024JD042704

图1基准期从1981-2010更新至1991-2020,1961–2020 年期间,中国极端气候指数的相对变化(单位:%)。(a–d) 表示气温指数,分别为 TX90p、TX10p、TN90p 和 TN10p;(e–h) 表示降水指数,分别为 R95p、R95d、R99p 和 R99d。点状标记表示根据 Wilcoxon 符号秩检验,在 90% 置信水平上差异显著。零值区域以白色表示。

图2 1961–2020 年期间中国极端气温事件 ToE 的变化。左侧各图展示了使用 1981–2010 年基准期阈值计算的中国区域平均气温指数的时间序列(灰线),黑线为经过低通滤波平滑后的信号。阴影区域分别表示1倍和2倍噪声范围。虚线表示 |S| > N(异常气候)或 |S| > 2N(非常规气候)所对应的年份。图左上角列出了信号的绝对值趋势和噪声大小。右侧各图与左图相同,但使用的是基于 1991–2020 年基准期计算的阈值。具体为:(a b) TX90p,(c d) TX10p,(e f) TN90p,(g h) TN10p(单位:%)。






